试题详情
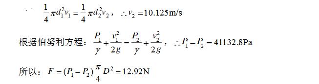
- 简答题如图利用一变截面管中水流产生的压力差,通过活塞操纵气体控制器。已知d1=15mm,d2=10mm,v1=4.5m/s,管段水平放置,活塞直径D=20mm。忽略损失及活塞杆直径,求活塞受到之压力。


关注下方微信公众号,在线模考后查看

热门试题
- 某液体的动力黏度为0.005Pa·s,其
- 描述流体运动的方法有哪些?其实质内容是什
- 不可压缩流体的连续性微分方程说明了动量守
- 某一单吸单级泵,流量Q=45m
- 定常流动中,流体质点的加速度()
- 温度t=15°C的水在宽度b=0.4m的
- 确定半无限物体的轮廓线,需要哪些量来决定
- 曲面附面层为什么会发生分离?
- 滞止参数(气体运动速度为零时的各物理参数
- 输水管道试压时,压力表的读值为8.5at
- 如图所示,在水平桌面上放置一盛水容器,若
- 证明 为水深为H的进行波的复势,其中S
- 若对管内流体流动的扰动只来源于流体与管壁
- 一水平变截面管段接于输水管路中,管段进口
- 牛顿流体是()一种物质。
- 已知平面无旋流动的流函数Ψ=xy+2x-
- 计算过流断面的水力半径时,湿周是指整个过
- 如下图所示为由三段简单管道组成的串联管道
- 牛顿内摩擦力的数学表达式为()。
- 尼古拉兹实验曲线的分区及其特性,该曲线所