试题详情
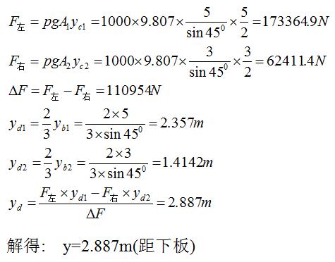
- 简答题 一矩形闸门两面受到水的压力,左边水深H1=5m,右边水深H2=3m,闸门与水平面成α=45°倾斜角,如图所示。假设闸门的宽度b=1m,试求作用在闸门上的总压力及其作用点。

-
关注下方微信公众号,在线模考后查看

热门试题
- 用欧拉法描述流体质点沿x方向的加速度为(
- 对于定常流动流体,其连续性方程为()。
- 水管直径为50mm,1、2两断面相距15
- 在测量湿球温度时,空气速度需大于5m·s
- 虹吸管最高处的压强()。
- 液体在重力场中作等加速度直线运动时,其自
- 在缓变流的同一有效截面中,流体的压强分布
- 静止的液体可以承受拉力。
- 流体微团象刚体一样,它运动可以分解为平动
- 雷诺数很大的实际流体可以忽略粘性,作理想
- 过滤操作有几种典型方式?各具什么特点?
- 管道中发生水击波时,周期与相的关系为()
- 下列物理量中,无量纲的数为()
- 设圆管直径d=200mm,管长l=100
- 就下面两种平面不可压缩流场的速度分布分别
- 什么是流体的压缩性和膨胀性?
- 如图所示,弧形闸门的铰轴与水面同高,已知
- 绝对压强pabs与
- 薄壁孔口与管嘴(厚壁孔口)的区别在于()
- 润滑油在圆管中作层流运动,已知管径d=1