试题详情
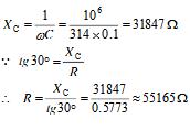
- 简答题 电路如图所示。已知电容C=0.1μF,输入电压U1=5V,f=50Hz,若使输出电压U2滞后输入电压60°,问电路中电阻应为多大?

-
根据电路图可画出相量示意图如图所示,由相量图中的电压三角形又可导出阻抗三角形,由阻抗三角形可得


电路中电阻约为55KΩ。 关注下方微信公众号,在线模考后查看

热门试题
- 在放大电路中,若测得某晶体管三个电极的电
- 电路的基本构成为:()。
- 测量时的系统误差是()误差。
- 三极管只能对电流起放大作用,所以称为电流
- 与恒流源串联的元件等效时应除掉。
- 稳压二极管的反向击穿电压越大越好,反向饱
- 陶瓷滤波器工作频率不太高(几十MHz以下
- 电路元件主要有:()。
- AM调制中的调制信号信息包含在()中。
- 单端输出的差动放大电路,其差模电压放大倍
- 根据三极管的符号判断三极管类型时,主要根
- 负载三角形连接时()
- 用0、1两个符号对100个信息进行编码,
- 在抑制载波的双边带调幅波的解调电路中,为
- 高频调谐功率放大器中,随着R
- 当高频调谐功率放大器工作状态由临界状态过
- 主从型JK触发器的C、J、K的波形如图所
- 基尔霍夫定律只适用于闭合回路。
- 晶体三极管的发射结正偏,集电极反偏时,则
- 有源逆变失败的原因可能有()。