试题详情
- 简答题 已知两个信号电压的频谱如图所示,要求: (1)写出两个信号电压的数学表达式,并指出已调波的性质; (2)计算在单位电阻上消耗的边带功率和总功率以及已调波的频带宽度?

(1)

得


得




当天线电流增加时,调制度发生了变化,能量关系为

得
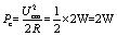
(2) 载波功率
双边带信号功率
因此
AM波与DSB波的频带宽度相等
关注下方微信公众号,在线模考后查看

热门试题
- 调频接收机采用AGC电路的作用()。
- 单相桥式全控整流电路一共有()只晶闸管。
- 在接收机系统中有AGC控制,当接收信号增
- 脉冲前沿
- 实际信号输入阻抗是变化的,在设计调谐功率
- 下列各参数不能够用于调节基本高频调谐功率
- 从二极管伏安特性曲线可以看出,二极管两端
- 试比较自动增益控制(AGC)与电子电路中
- 抑制载波双边带调幅在基带信号过零点发生相
- 截止失真和饱和失真属于非线性失真现象。
- 三极管的输出特性曲线要求基极电流I
- 复合管是如何联接的?有什么特点?
- 当PN结外加正向电压时,耗尽层()。
- 调相的描述是用调制信号去控制载波信号的相
- 若电阻元件的伏安特性可以用一条通过平面坐
- 有一位二进制数码(信号)需暂时存放应选用
- 画出正弦量u(t)=10cos(ωt+3
- 将三极管进行微变等效时,B-E间可等效为
- 如下图所示电路,若R2电阻短路,则该电路
- 在下图所示电路中,E=10V,内电阻R0