试题详情
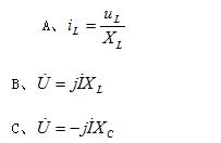
- 单项选择题电感电路正确的表达式是()

A、A
B、B
C、C
- B
关注下方微信公众号,在线模考后查看

热门试题
- 调制信号和载波信号线性叠加也能得到调幅波
- 根据教材的资料,二极管的伏安特性曲线的坐
- 抑制载波双边带调幅在基带信号过零点发生相
- 脉宽调制法
- 当集电极与发射极间电压UCE<
- 从频率范围分,高频段所覆盖的频段为3~3
- “与非”门逻辑电路的图形符号为(),它的
- 时序逻辑电路
- 晶闸管的反向重复峰值电压应大于它的反向击
- 由欧姆定律R=U/I可知,以下正确的是(
- 同一型号的半导体稳压二极管的稳压电压值只
- 石英晶体与电感串联后,由于串联电感增加,
- 将放大电路中输出信号的一部分或全部通过反
- LC串联谐振回路发生失谐时,当f>f
- ()BCD码是最常用也是最简单的一种BC
- 高电平调制由功率放大器组成,改变E
- 简述二极管的特性。
- 示波器可测出电压的()
- 音频、电话、数据终端通信所使用频段为()
- 根据反馈的极性,反馈可分为()反馈.