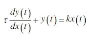
试题详情简答题一阶检测系统的动态特性如何表达?正确答案: k:静态灵敏度;τ:时间常数。 答案解析:关注下方微信公众号,在线模考后查看热门试题压力表的选用原则及选用步骤分别是什么?接触电势的大小与()及()有关:温度越高一阶检测系统的动态特性如何表达?简述液体压力计原理。测量误差的来源是?超声波流量计的结构是怎样的?涡街流量计结构包括:()和()均速管的结构是怎样的?如何分类流量测量仪表?均速管出现的原因是什么?电接点水位计有什么特点?液体压力计的测量误差分析什么?什么是线性度?列出线性拟合常用的方法。简述各种测量仪表的优缺点。试述压力的定义。表压力、绝对压力、负压力对冲式流量计的定义是什么?简述光电效应。在ITS—90中,热力学温度(符号T)单辐射测温的三种方法是什么?热电偶串联及并联的连线方法及各自特点是什