试题详情
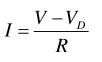
- 简答题在下图所示电路中,发光二极管导通电压UD=1.5V,正向电流在5~15mA时才能正常工作,试问:R的取值范围是多少?

- 忽略二极管的正向导通电阻,根据
有
关注下方微信公众号,在线模考后查看

热门试题
- 放大器有两种不同性质的失真,分别是()。
- 采用集电极调幅,发射机载波输出功率(P<
- 理想单调谐放大器工作的矩形系数为1。
- 稳压二极管的()参数越小,稳压管的稳压特
- 调相的描述()。
- 下面电路为某电路的直流通路,()电路的三
- LC谐振电路,按反馈电压取出方式不同,可
- 谐振回路Q值越高,谐振曲线就越尖锐,选择
- 场效应管的输入电阻较小,但它耗电少,因此
- 共发射极放大电路的输出电阻r0
- 高频调谐功率放大器的动态特性中,确定动态
- 什么是竞争与冒险现象?如何消除?
- 单边带信号通信的优点是节省频带、节省能量
- 具有图腾结构的TTL集成电路,同一芯片上
- 如图所示电路为应用集成运放组成的测量电阻
- 将十进制数9写成二进制数应是()
- 晶闸管的额定电压为()。
- ()、共基极放大电路有电压放大作用。
- 广播、业余无线电通信所使用频段为()。
- 电容可以用于调制和解调器的元件。