试题详情
- 简答题 如图所示为载频是2000kHz的调幅波频谱图。写出它的电压表达式,并计算它在负载R=1Ω时的平均功率和有效频带宽度。

-
由频谱图知:

所以ma = 0.4
因此根据
写出该调幅波的电压表达式为
(1)
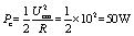
(2)
当R = 1 Ω时,





(3)频带宽度
关注下方微信公众号,在线模考后查看

热门试题
- 引入并联负反馈,可使()。
- 半导体具有()、光敏特性、参杂的特性。
- 利用与非门设计一个逻辑电路,判断三个变量
- CH7555是一种典型的CMOS集成定时
- 反馈电阻RE的数值
- 已知RL串联电路的端电压u=220√2s
- 国内中波广播的波段大致为()。
- 万用表直流电压档测出的电压是()
- 在集电极调幅电路中,ECC
- 用示波器观察NPN管共射单级放大电路输出
- 三相电源能输出()电压。
- 电路中的电流没有经过负载,所形成的闭合回
- 由555定时器构成的施密特触发器,改变控
- 三极管的发射结处于正偏,就必工作在放大状
- “与非”门逻辑电路的图形符号为(),它的
- 具有右移功能的移位寄存器,输入的数码应从
- 当温度升高时,晶体三极管集电极电流Ic变
- 对于下图所示电路()具有实现将集电极电流
- 波长比短波更短的无线电波称为米波。
- 直流稳压电源电路的功能是将()转化为稳定