试题详情
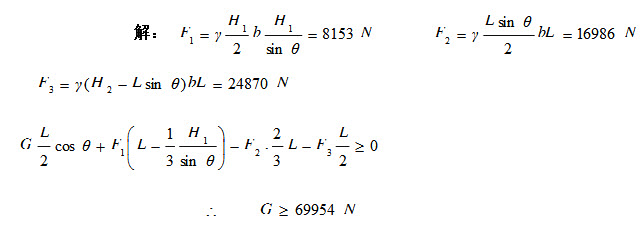
- 简答题 平板A B,可绕A转动。长L=2m,宽b=1m,θ=60°,H1=1.2m,H2=3m为保证平板不能自转,求自重G
-
关注下方微信公众号,在线模考后查看
热门试题
- 恒定总流的动量方程及其应用条件?
- 为什么水平面必是等压面?
- 有压管道的测压管水头线只能沿程降低。
- 有旋运动就是流体作圆周运动。
- 由紊流转变为层流的临界流速vk
- 一无限平板的上半空间充满粘性不可压缩流体
- 高压管末端的喷嘴如图。出口直径d=10c
- 流体在圆形管内的摩擦阻力分为哪两类?
- 航标灯可用如图所示模型表示:灯座是一个浮
- 设计某二元理想溶液精馏塔时,如保持F,x
- 体积为0.5m3的
- 应用能量方程判断下列说法是否正确:水一定
- 流体流动时切应力与流体的粘性有关,与其他
- 水在一条管道中流动,如果两断面的管径比为
- 如果流体的线变形速度为,则流体为不可压缩
- 动量修正系数的大小取决于过水断面上()
- 水面高差为H=20m的两个水池用输水管连
- 有摩擦的绝热管流中,滞止()处处相等。
- 由理论扬程方程式可知,理论压头H
- 一底面积为40×50cm2