试题详情
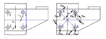
- 简答题 一钢结构托架由两块边板和一块承重板焊成的,两块边板各用四个螺栓与立柱相连接,其结构尺寸如图所示。托架所受的最大载荷为20kN,载荷有较大的变动。
试问: (1)此螺栓连接采用普通螺栓连接还是铰制孔用螺栓连接为宜? (2)如采用铰制孔用螺栓连接,螺栓的直径应为多大?
-
(1)采用铰制孔用螺栓连接较为合宜。因为如用普通螺栓连接,为了防止边板下滑,就需在拧紧螺母时施加相当大的预紧力,以保证接合面间有足够大的摩擦力。这样就要增大连接的结构尺寸。同时螺栓杆和孔之间有间隙,为要保证导轨的平直,在装配时还需要调整。
(2)确定螺栓直径
(a)螺栓组受力分析:

由图可见,载荷作用在总体结构的对称平面内,因此每一边(块)钢板所受载荷:P=20/2kN=10000,将载荷P向螺栓组连接的接合面形心简化,则得
横向载荷(向下滑移):P=10000N
旋转力矩(绕中心O):T=10000×300N·mm=3000000N•mm
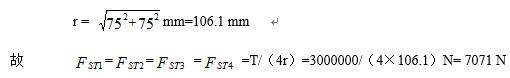
(b)计算受力最大螺栓的横向载荷Fs: 在横向载荷P作用下各螺栓受的横向载荷Fsp大小相等,方向同P,即 Fsp1=Fsp2=Fsp3=Fsp4=P/4=10000/4N=2500N
在旋转力矩T作用下,各螺栓受的横向载荷FST大小亦相等。这是因为各螺栓中心 至形心O点距离相等,方向各垂直于螺栓中心与形心O点的连心线。 由图可见,螺栓中心至形心O点距离为

各螺栓上所受横向载荷FSP和FST的方向如图所示。由图中可以看出螺栓1和螺 栓2所受的两个力间夹角α最小(α=45°),故螺栓1和螺栓2所受合力最大,根据力的合成原理,所受总的横向载荷FSmax为

由手册按GB27—88查得,当螺纹公称直径为10mm时,螺杆光杆部分直径d0=11mm,符合强度要求,故选M10(GB27—88)的铰制孔用螺栓。 关注下方微信公众号,在线模考后查看

热门试题
- 相同轴径下矩形花键联接传递的转矩()压力
- 对大批量生产、尺寸较大(D>50mm)、
- 转轴的变曲应力为()
- 被联接件受横向载荷作用时,若采用一组普通
- 滚动轴承内圈与轴颈的配合比外圈与座孔的配
- 机构具有确定运动的条件是,机构的原动件数
- V带传动设计计算时带的线速度要满足()m
- 滚动轴承工作时,滚动体和转动套圈的表面接
- 简述当量动载荷的含义?
- 凸缘联轴器的两个凸缘对中方法有:()、(
- 机械零件由于某些原因不能()时称为失效。
- 在齿轮传动中,齿面疲劳点蚀是由于()的反
- 三角螺纹的自锁性较(),常用()。
- 设计圆柱齿轮传动时,应取小齿轮的齿面硬度
- 球轴承比滚子轴承的承载能力();球轴承比
- 在高转速、有振动的场合,楔键联接没有平键
- 下图为斜齿轮、轴、轴承组合结构图。齿轮用
- 核心技术
- 对齿轮材料的基本要求是:齿面(),齿芯(
- 按基本额定动负荷选定的滚动轴承,在预定使