试题详情
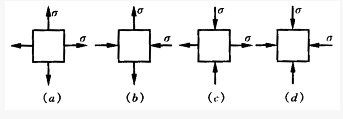
- 单项选择题 在图示四种应力状态中,关于应力圆具有相同圆心位置和相同半径者,有下列答案:()
A、A.与D.
B、B.与C.
C、C.与D.及C.与B.
D、D.与B.及C.与D.
- C
关注下方微信公众号,在线模考后查看
热门试题
- 梁的横截面是由狭长矩形构成的工字形截面,
- 已知图(a)所示梁中点C的挠度为Wc=F
- 按照格理菲斯强度理论,脆性岩体破坏主要原
- 就正应力强度而言,题图所示的梁,以下列哪
- (2005)受扭实心等直圆轴,当直径增大
- (2011)梁的横截面是由狭长矩形构成的
- 梁的弯矩图如图示,最大值在B截面。在梁的
- (2007)图示矩形截面,m&mdash
- 在图示四种应力状态中,最大切应力值最大的
- (2013)图示结构的两杆面积和材料相同
- 已知Z为形心轴,则截面对Z轴的静矩SZ=
- 上部为柔性结构但基础本身刚度较小的条形基
- 有两根圆轴,一根是实心轴,一根是空心轴。
- 图5-6-12受载梁,截面C左、右两侧的
- 当低碳钢试件的试验应力σ=σs时,试件将
- (2006)矩形截面梁横力弯曲时,在横截
- 梁的弯矩图如图5-6-7所示,均为二次抛
- (2012)图示三根压杆均为细长(大柔度
- 如图所示应力状态为其危险点的应力状态,则
- (2013)图示结构的两杆许用应力均为[