试题详情
- 简答题
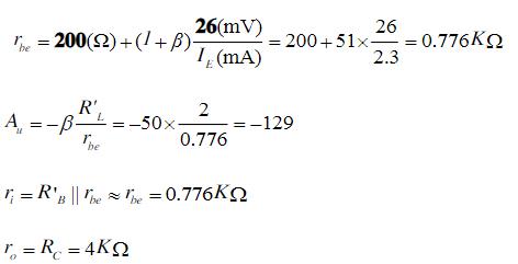
在下图所示的分压式偏置放大电路中,已知:β = 50, UCC = 12V, RB1= 7.5kΩ,R
= 2.5kΩ,RC = 2kΩ, RE= 1kΩ,RL = 2kΩ。
计算该电路的性能指标(Au,ri,ro)的值。
-
关注下方微信公众号,在线模考后查看

热门试题
- 在半波整流电路中,选用二极管时,二极管最
- 检波器的非线性失真系数是指输出的高频信号
- 在放大电路中,调节基极电阻RB,就会改变
- 直流稳压电源电路的功能是将220V工频交
- 进行A/D转换的主要步骤是什么?什么叫量
- 电路包括()三个组成部分。
- 晶体管的控制方式为()
- 在无线电波的传输方式中,1.5MHz~3
- 在滤波电路中,最简单的是由电容器,电感器
- 振荡电路的基本组成部分放大电路、反馈电路
- 晶闸管是一种()半导体器件。
- 基尔霍夫电流定律(KCL):任何时刻,对
- 为什么低频功率放大器不能工作在丙类?高频
- 可逆计数器既能作加法计数,又能作减法计数
- 数字电路中,输入信号和输出信号之间的关系
- 单相半波可控整流电路带阻性负载时,输出电
- 二极管的死区电压就是反向偏置电压。
- 理想运放工作在非线性区存在()现象。
- 当高频调谐功率放大器工作在过压状态时,i
- 一般晶闸管导通后,要使其阻断,则必须()