试题详情
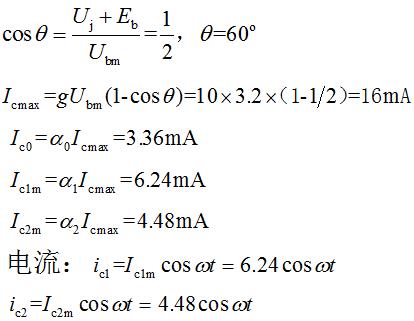
- 简答题 已知某晶体管的转移特性,其转移导纳g=10mA/V,Uj=0.6V,Eb=-1V,激励信号电压幅值Ubm=3.2V,求电流ic的ic0,ic1m,i2mc分量的值及ic1m,ic2m。(α0(60o)=0.21,α1(60°)=0.39,α2(60°)=0.28)
-
关注下方微信公众号,在线模考后查看

热门试题
- 电压负反馈能稳定输出电压,电流负反馈能稳
- 三极管接入放大电路的三种基本组态是()、
- 功率晶体管三个电极分别为()。
- 可逆计数器既能作加法计数,又能作减法计数
- 声表面波滤波器相对带宽可以做的()。
- 三极管有()PN结。
- 如图所示二极管检波电路中,已知二极管的导
- 简单二极管调幅电路的特点是()。
- 当高频调谐功率放大器工作在过压状态时
- 三极管就是可调二极管。
- 逻辑电路中,一律用“1”表示高电平,用“
- PN结正偏时,P区接电源的()极,N极接
- 内部自由电子数量和空穴数量相等的半导体是
- 接收机自动音量控制电路能自动保持音量,原
- 用三极管构成的门电路称为()门电路。
- 什么是共模抑制比
- 画出串联稳压电路原理框图。
- 当高频调谐功率放大器工作状态由临界状态过
- 将矩形波变换三角波,需用()。
- 画出数字通信系统的基本组成方框图?