试题详情
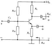
- 简答题 放大电路如图所示,已知图中VCC=+12V,Rbl=15kΩ,Rb2=30kΩ,Re=3kΩ,Rc=3.3kΩ,β=100,VBE=0.7V,电容C1、C2足够大。 (1)计算电路的静态工作点IBQ、ICQ和VCEQ。 (2)分别计算电路的电压放大倍数
。 (3)求电路的输入电阻Ri。 (4)分别计算电路的输出电阻Ro1和Ro2。 
-
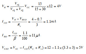
(1)确定静态工作点:

(2)估算放大电路的电压放大倍数:

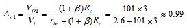
由VOl端输出时,电路为射极跟随器:

由VO2端输出时,电路为共射放大电路:
关注下方微信公众号,在线模考后查看

热门试题
- 晶体管放大器的增益取决于晶体管的()。
- 整流是指将交流电变成单向脉动直流电的过程
- 在PN结的P区引出的电极叫负极,也叫阴极
- 如果放大电路产生了饱和失真,可以适当减少
- 画出直流电流的一般组成图,说明各组成单元
- 集成运放电路级间耦合采用阻容耦合方式。
- 超短波只能以空间波方式传播。
- ()、共基极、共集电极放大电路有功率放大
- 硅二极管两端正向偏置电压大于()时,二极
- 在R-L-C串联电路中,只有()是属于电
- 峰点电压
- 晶体管工作在放大区的条件是发射结(BE结
- 将多级单调谐放大器级联,级联后选择性变(
- 双极型三极管放大电路的组态有()。
- 三极管的主要功能是(),三极管电流放大作
- 用万用表测得某电路两端电阻为0Ω,则说明
- 同步二进制计数器一般由T触发器组成。
- 在下列整流电路,不能实现有源逆变的是()
- 编码的条件是:必须满足2n
- 已知一电压源的电动势为12V,内阻为2Ω