试题详情
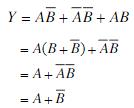
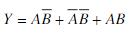
- 简答题 请将下列各式化简为最简与或式。 1、用逻辑代数运算法则进行化简
2、用卡诺图进行化简 
-
1.

2.
关注下方微信公众号,在线模考后查看

热门试题
- 当晶闸管的控制极触发使晶闸管导通后,一旦
- 将矩形波变换三角波,需用()。
- 放大电路在其他参量不变的条件下,改变R<
- 三极管的发射区()浓度很高,而基区很薄。
- 下图是直流稳压电源电路图,试叙述该电路的
- 画出数字通信系统的基本组成方框图?
- 戴维南定理适用于()
- 1度=1KWh=()J
- 高频调谐功率放大器中,晶体管的外部特性指
- 差动放大电路,放大差模信号,抑制共模信号
- 当同相比例运算电路中的R1
- 将逻辑式F=A+B+用“与非
- 单相交流调压电路可以用于()
- 经过N个计数脉冲,计数器的状态恢复到原始
- 直接耦合放大电路的零点漂移是否严重,只要
- RC正弦波振荡电路有桥式振荡电路、双T网
- 在稳压电路中,二极管起滤波作用,电容起整
- T触发器受T端输入信号控制,T=()时,
- 高频调谐功率放大器集电极电流脉冲展开系数
- 支路电流法是利用欧姆定律求支路电流的方法