试题详情
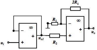
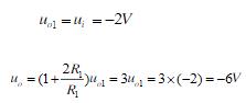
- 简答题 下图所示是由两个运算放大器组成的运算电路。已知输入电压ui = - 2V, 试求出输出电压uo的值。

-
关注下方微信公众号,在线模考后查看

热门试题
- 串联稳压电路有四个基本组成部分:取样、基
- 触发器与组合电路两者都没有记忆能力。
- 若某放大电路中三极管的三个管脚电位分别为
- 鉴频的描述是调幅信号的解调。
- 滤波电路的主要作用是(),使输出的直流电
- 模拟相乘调幅、平衡调幅、环形调幅均属于高
- 当高频调谐功率放大器工作在过压状态时
- 求下图所示电路的u0
- 二进制数101011转换为十进制数为()
- 负载回路采用部分接入方式接入电路时,接入
- 晶体管的控制方式为()
- 在调谐功率放大器中,晶体管工作延伸到非线
- 请利用与非门设计一个组合逻辑电路供三人表
- 放大电路的动态范围越大,也就是通频带越宽
- 射极跟随器的特点是()
- 根据三极管的符号判断三极管类型时,主要根
- 从频率范围分,高频段所覆盖的频段为3~3
- 编码的条件是:必须满足2n
- 采样定理的规定,是为了能不失真地恢复原模
- 当基本RS触发器的RD