试题详情
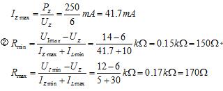
- 简答题 在下图所示的硅稳压管稳压电路中,要求输出直流电压6V,输出直流电流为(10~30)mA,若稳压管为2CW13,其稳压值为6V,允许耗散功率250mW,稳压管最小稳定电流为5mA,设整流、滤波后的输出电压在(12~14)V之间变化,试问: ①稳压管中的电流何时最大,何时最小? ②选择多大的限流电阻值,能使稳压电路正常工作?

-
①当电网电压最高而负载电流最小时,稳压管电流最大;当电网电压最低而负载电流最大时,稳压管电流最小。

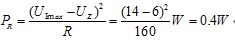
可取R=160Ω。此时,电阻R上的最大功耗为
可选R为160Ω、1W的电阻。 关注下方微信公众号,在线模考后查看

热门试题
- 穿过线圈的磁通量发生变化,线圈中必产生(
- 射极跟随器的输出电阻大,输入电阻小。
- 调相的描述是用调制信号去控制载波信号的相
- 电路是由电源、()、导线和开关等中间环节
- 同一型号的半导体稳压二极管的稳压电压值只
- 在下图所示电路中,E=10V,内电阻R0
- 试分别写出钟控RS触发器、JK触发器和D
- 当交流放大电路输出电压波形的负半周失真,
- 相电压是指火线与零线之间的电压。
- 用功率表测量某负载功率时,测得电压为22
- 单端输入的差动放大电路,其效果与双端输入
- 如图所示,在电磁铁的左侧放置了一根条形磁
- 噪声源是指信道中的噪声及分散在通信系统中
- 在交流放大电路中,输出电压与输入电压的相
- 晶闸管的缺点是承受过压和过流的能力()。
- 在调谐功率放大器中,晶体管工作延伸到非线
- 数字式万用表使用完毕后,应将()。
- 射极跟随器具有()输入电阻,()输出电阻
- 不属于解决高频调谐放大器的稳定性差的方法
- 具有保持和翻转功能的触发器是()。