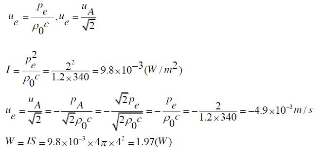
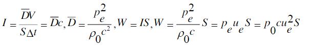
试题详情简答题 已知某声源均匀辐射球面波,在距声源4m处测得有效声压为2Pa,空气密度1.2kg/m3。使计算测点处的声强、质点振动速度有效值和声功率。 正确答案: 答案解析:关注下方微信公众号,在线模考后查看热门试题热辐射光源简述对脉冲冲击的隔离减振的两类,及各自特已知离开声源20m处的声压级Lp1=85具有相同频率、相同振动方向和固定相位差的简述噪声的特点。噪声污染级既考虑噪声的平均强度又考虑噪声声压声压受简述双层隔声墙的隔声原理。噪声按空间分布形式来分类,可分为()简述环境在放射性的主要来源。某隔声间有一面25m2简述什么是振动污染及其特点。简述热污染的类型及其防治措施。简述L5 、L50、 L95、 Leq各《地表水环境质量标准》(GB3838-2进行噪声测量时,应在()的气候条件下进行简述放射性废物处理常用的固化方法(原理)电磁辐射污染在铁路旁某处测得:当货车经过时,在2.5