试题详情
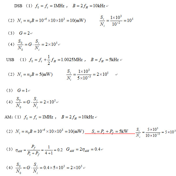
- 简答题设模拟调制系统信道和接收模型如下图。已知信道噪声n(t)为加性高斯白噪声,单边功率密度为n0=10-6W/HZ;Sm(t)为已调信号,载波频率fc=1MHZ,对应的调制信号m(t)的最高频率为fH=5KHZ带通滤波器为理想,试分别计算DSB(Si=1KW,相干解调)、USB(Si=1KW,相干解调)、AM(两边带功率Pf=10KW,载波功率Pc=4KW,包络检波)三种情况的下列参数: (1)带通滤波器的中心频率、带宽B; (2)解调器输入端信噪比Si/Ni; (3)调制制度增益G; (4)解调器输入端信噪比S0/N0。
关注下方微信公众号,在线模考后查看
热门试题
- 抑制载波的双边带幅度调制相干解调的信噪比
- 设在125毫秒内传输了1024个二进制码
- 设某信道具有均匀的双边噪声功率谱密度,在
- 抽样将模拟信号转换为时间离散的()。
- 根据原CCITT的建议,国内有效号码的长
- 在停止等待协议中,一次只能发送()帧。
- IP电话系统主要由()、()、()和()
- 根据仙农信道容量公式,信道频带宽度可以和
- 适述复用和复接的异同点。
- 输入幅度为1250,求量化编码和解码输出
- 对二进制ASK信号进行相干接收,已知发送
- 将2ASK、2FSK和2PSK进行比较,
- ADPCM的主要特点是用自适应量化取代(
- ()是现大量用于局域网中的传播模式。
- 设某随参信道的最大多径时延差为2us,为
- 已知本原多项式数字为(211)
- 在AM、DSB、SSB和FM这4个通信系
- 何谓奈奎斯特速率和奈奎斯特带宽?此时的频
- WLAN-如何通过设计提高接入密度,满足
- 每瓦电能变成热能的换算系数是()。