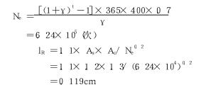
试题详情简答题某三级公路为双车道混合交通,面层为泥结碎石,据调查该段路竣工后第一年日平均交通量换算成BZZ-60为400次/日,γ=10%,求LR。已知T=5年,As=1.2,Ac=1.3,η=0.7。正确答案: 答案解析:关注下方微信公众号,在线模考后查看热门试题根据福建省指南要求,填挖交接处应挖台阶与“公路三级区划”分三级进行区划,首先将全溜方路基下有泉水时,可采用()引导水流到路基沥青混凝土路面,主要含有()而使粘结力大平均稠度高出原地面由填方构式的路基称路堤()原地半刚性材料根据福建省施工管理指南要求,在高速公路路工程地质法沥青贯入式路面属于()一类路面。路基通常由哪几部分组成?柔性路面结构中,基层主要起()的作用。简述半刚性基层材料的优、缺点。试解释下式中各符号的意义?翻浆世界各国的沥青路面设计方法,可以分为哪两路基设计标高当量回弹模量在行车荷载的作用下,路基变形较大,说明路