试题详情
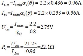
- 简答题 用3DA4高频功率管装成放大器,测得fT=1MHz,β=20,额定输出功率Po=20W,晶体管输出特性曲线中饱和临界线跨导,要做成2MHz的谐振功率放大器,选定Ec=24V,θ=70°,Icmax=2.2A,α0(70°)=0.253,α1(70°)=0.436,并工作在临界状态。试计算IC0,Ic1m和Rc。
-
关注下方微信公众号,在线模考后查看

热门试题
- 稳压二极管的()参数越小,稳压管的稳压特
- 由于电容器中储存的能量不能突变,所以电容
- 画出直流电流的一般组成图,说明各组成单元
- 如下图所示电路,若R1电阻开路,则该电路
- 三极管构成放大电路时,按输入信号和输出信
- 环形二极管调幅电路的特点是输出信号无用频
- 三相共阴极整流电路,整流管换相总是换到阳
- 相量式既能反映电压与电流间的大小关系又能
- 检波的实质是()。
- 根据对输出电压平均值进行调制的方式不同,
- 高频调谐功率放大器中,随着E
- 把下列正弦量表示为有效值相量:
- 74LS138中规模集成电路也称为()译
- 关于理想电压源和理想电流源,下面的叙述正
- 三极管实现放大作用的内部条件是:发射区杂
- 集电极调幅的原理()。
- 稳压二极管是利用PN结的()。
- 石英晶体与电感串联后,并联谐振频率()。
- 数字电路比模拟电路抗干扰能力()
- 有段电阻是4Ω的导线,把它均