试题详情
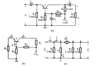
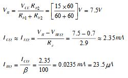
- 简答题 已知下图所示共基放大电路的三极管为硅管,β=100,试求该电路的静态工作点Q,电压放大倍数AV,输入电阻Ri和输出电阻Ro。 (1)求静态工作点 (2)求AV、Ri和RO。

-
(1)作出题图(a)的直流通路如题图(b)所示,由直流通路得:

(2)根据交流通路画出题图(a)的小信号模型等效电路如题图(c)。
关注下方微信公众号,在线模考后查看

热门试题
- 某谐振高频功率放大器,已知晶体管的饱和
- 普通调幅信号的包络与()的幅度变化规律相
- 集电极调幅电路适用于()。
- 射极跟随器具有()输入电阻,()输出电阻
- 调幅的发射机是把载波和上下边带一起发射到
- 一个N位逐次逼近型A/D转换器完成一次转
- 有两个已调波电压,其表示式分别为 分
- 对电压、频率、电流等模拟量进行数字处理之
- KVL和KCL定律的相量形式分别为()
- 画出直流电流的一般组成图,说明各组成单元
- 调谐功率放大器工作状态的判定是根据与()
- 编码的条件是:必须满足2n
- 甲乙类互补对称电路与乙类互补对称电路相比
- 高频调谐功率放大器中,晶体管的外部特性指
- 晶闸管带电阻性负载的可控整流电路,控制角
- 反馈电阻RE的数值
- 三极管工作在放大区时,发射结和集电结分别
- 触发器是最常用的具有()的基本单元电路。
- 何谓逻辑门?何谓组合逻辑电路?组合逻辑电
- 放大电路的主要动态性能指标有()。