试题详情
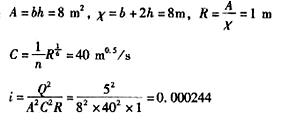
- 简答题某矩形断面渠道,粗糙系数n=0.025,通过流量Q=5.0m3/s,底宽b=4m,水深h=2m,问此渠道底坡应为多少?
-
关注下方微信公众号,在线模考后查看

热门试题
- 离心泵结构中那些是转能部件?
- 流体的压强在一定情况下温度升高,体积膨胀
- 欧拉法以流场为研究对象,拉格朗日方法以流
- 牛顿内摩擦定律及其各项含义是什么?描述流
- 按长管计的串联管道,无支流分出,则各管段
- 不可压缩流体是指()
- 颗粒在流体中做自由沉降,试计算 (1)密
- 简述描述流体运动的拉格朗日法和欧拉法的区
- 若流体的密度仅随()变化而变化,则该流体
- 静止流体中任一点的流体静压力的大小与作用
- 有压圆管流动中,流体流经一渐缩管段,如果
- 如图,水泵A将水输送到距水面H1米的B处
- 图示容器中有两种液体,密度ρ2>
- 已知某流体的粘性切应力为τ=5.0N/m
- “均匀流一定是恒定流”,这种说法是否正确
- 弦长为3m的飞机机翼以300km/h的
- 简述串联管路的水力特性。
- 求波长为145m的海洋波传播速度和波动周
- 在工程流体力学中,常取的基本量纲为()
- 用水银比压计量测管中水流,过断面中点流速