试题详情
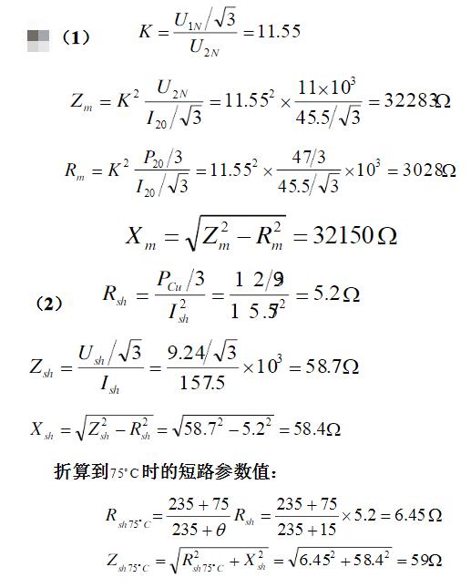
- 简答题一台三相电力变压器额定数据为:SN=20000kVA,U1N/U2N=220/11kV,Yd-11接法,在150C实验数据如下:
试求: (1) 变压器电压比和励磁阻抗: (2) 短路阻抗; (3) 画出“T”型等效电路。


关注下方微信公众号,在线模考后查看

热门试题
- 某TN系统中,当断路器作为短路保护时,若
- 水泵试运行时间应连续()h。
- 在火灾危险环境内,采用铠装电缆或钢管配线
- 有一台三绕组变压器,容量为25MVA,电
- 在危及()的建筑物、构筑物上,应根据航行
- 在弦线上有一简谐波,其表达式为为了在此弦
- 油断路在运行中的检查项目有哪些?
- 防止人身间接电击的保护采用()时可不采用
- 运算放大器应用电路如图所示,设其输出饱和
- 220V直流操作系统中,断路器合闸机构耗
- 物质的用途与其化学性质有关的是()
- 下列选项中,哪一项不属于CSS3所包含的
- 设欲使f(x)在x=0处连续,则b的值是
- 配电装置的长度大于()m时,其柜(屏)后
- 采用闭环控制系统调速范围为()。
- 根据《低压配电设计规范》,下列有关配电设
- 闪突起
- 系统的配电线路中,当发生第一次接地故障时
- 不同类发电厂的运行有什么特点?如何进行合
- 已知级数的收敛域为[-1,3),则级数的