试题详情
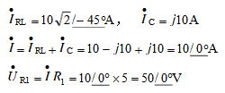
- 简答题 下图所示电路中,R1=5Ω,R2=XL,端口电压为100V,XC的电流为10A,R2的电流为10√2A。试求XC、R2、XL。

-
设并联支路端电压为参考相量,则

因为并联支路端电压初相为零,所以总电压初相也为零,即U并=100-50=50V,因此
关注下方微信公众号,在线模考后查看

热门试题
- 电感的单位是亨利,1亨利等于()毫亨。
- 常用的整流电路有半波整流,全波整流和()
- 维—阻D型触发器(触发前Qn=1),当D
- 组合逻辑电路的输出,与电路的原状态()
- 对于各电阻值都相等的减法运算电路,它的输
- 高电平调制由功率放大器组成,改变E
- 移动电话、短波广播通信所使用频段为()。
- 什么是共模信号和差模信号?差动放大电路如
- 晶闸管的缺点是承受过压和过流的能力()。
- 触发器按逻辑功能分为()类。
- JK触发器是一种全功能的触发器。
- AM调制中的调制信号信息包含在载波中。
- 共发射极放大电路的输入信号加在三极管的(
- 利用三极管放大电路的微变等效电路可以求出
- 放大电路的动态是指()信号时的状态。
- 集电极调幅电路工作于过压状态,优点是效率
- 当电流源短路时,该电流源内部()
- 射极输出器属于()负反馈电路,它的电压放
- 差动放大电路的差模电压放大倍数与输出方式
- RC正弦波振荡电路有桥式振荡电路、双T网