试题详情
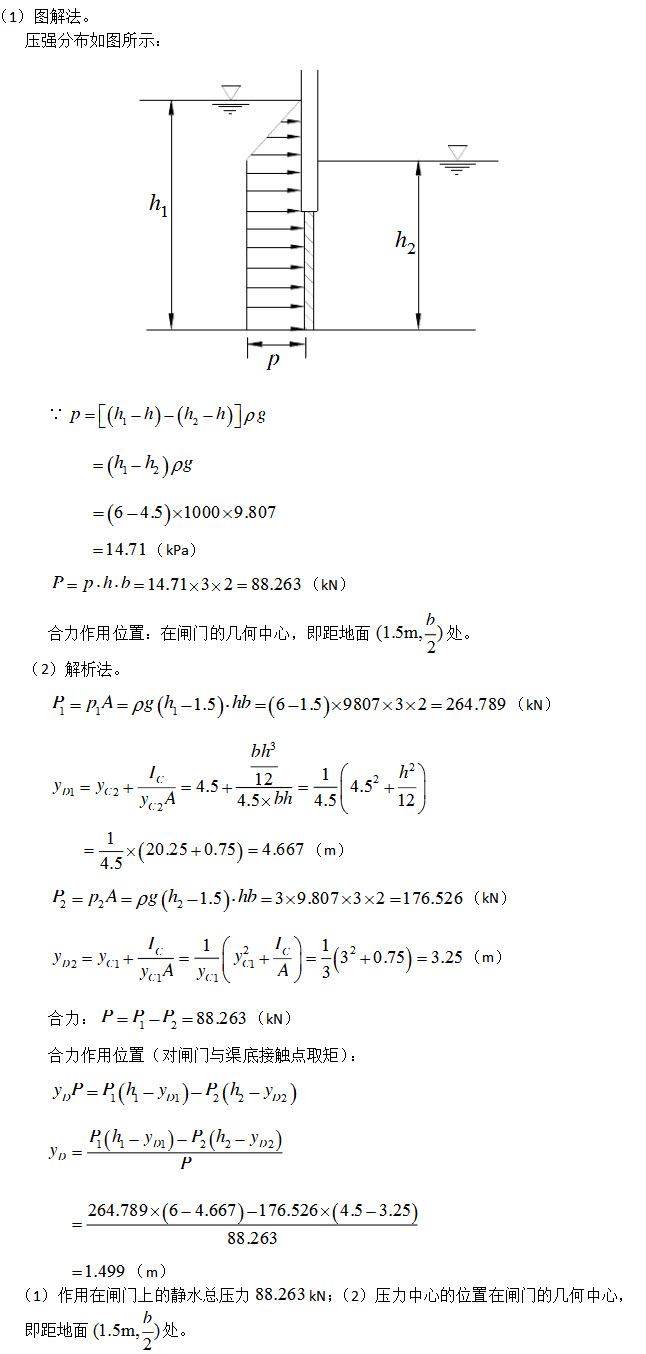
- 简答题矩形闸门高h=3m,宽b=2m,上游水深h1=6m,下游水深h2=4.5m,试求: (1)作用在闸门上的静水总压力; (2)压力中心的位置。


关注下方微信公众号,在线模考后查看

热门试题
- 如本题附图所示,用泵2将储罐1中的有机混
- 在计算作用在曲面上静水压力时,压力体由以
- 在恒定流中,流场中任意空间点的运动要素不
- 一盛有液体的开口杯子,在重力作用下在一个
- 矩形闸门高h=3m,宽b=2m,上游水深
- 一个接触液体的平面壁上形心处的水静压强正
- 某点的真空度为65000Pa,当地大气压
- 已知不可压缩平面流动的流函数: (1)求
- 水深相同的静止水面一定是等压面。
- 平衡流体不能抵抗剪切力。
- 如图所示,在水平桌面上放置一盛水容器,若
- 为了在(5,0)点产生10的速度,在坐标
- 凡是满流流动,任何截面上的压强均大于大气
- 动力粘度为常数的流体称为牛顿流体。
- 自来水水龙头突然开启或关闭时,水为可压缩
- 力的量纲为()
- 圆管层流中,沿程损失因数与管壁的粗糙程度
- 简述边界层分离的原因。
- 如图所示,欲使活塞产生F=7848N的推
- 文字描述牛顿内摩擦定律。