试题详情
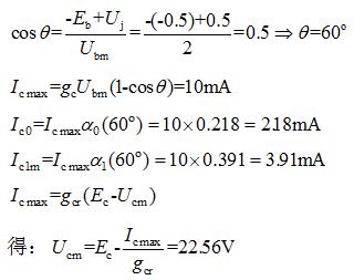
- 简答题 某谐振高频功率放大器,已知晶体管的饱和临界线斜率gcr=6.94mS,Uj=0.5V,Ec=24V,Eb=-0.5V,输入电压Ubm=2V,gc=10mS,且放大器工作于临界状态。试求:θ,Ic0,Ic1m,Ucm?
-
关注下方微信公众号,在线模考后查看

热门试题
- 在集电极调幅电路中,ECC
- 在测量二极管正向电阻时,若用两手把管脚捏
- 触发器工作时,时钟脉冲作为()。
- 触发器按逻辑功能分为()类。
- 组合逻辑电路中一般应有JK触发器。
- 实际电压源和电流源模型中,其内阻与理想电
- 将矩形波变换三角波,需用()。
- 全加器是一个只能实现本位两个进制数相加的
- 用代数法化简下列逻辑函数
- 从频率范围分,高频段所覆盖的频段为3~3
- 利用丙类调谐功率放大器实现丙类倍频器,一
- 由555组成的多谐振荡器,如果外接电阻R
- 高电平调制由功率放大器组成,改变E
- 在数字信号进行调制时,通常称为键控,其中
- 计数器按计数的进制不同,可分为(),()
- 当PN结外加正向电压时,耗尽层()。
- 内部自由电子数量和空穴数量相等的半导体是
- 死区电压
- 二进制只有()和()两个数码,计数规律是
- RC正弦波振荡电路中不包括的是()