试题详情
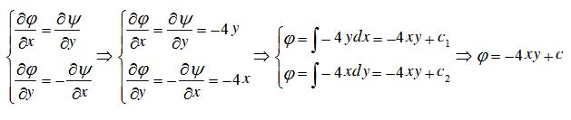
- 简答题已知流函数ψ=2(x2-y2),试求速度势函数φ
-
关注下方微信公众号,在线模考后查看

热门试题
- 尼古拉兹试验主要是研究()
- 在一传热面积为40m2
- 流线一般不能相交,且只能是一条光滑曲线。
- 液体粘度随温度升高而减大,气体粘度随温度
- 有三个管道,管道断面分别是管道1为边长为
- 证明不可压缩理想流体作二维定常流动时,忽
- 圆柱形容器的半径R=15cm,高H=50
- 在封闭管端完全真空的情况下,水银柱差Z<
- 沿程损失和局部损失的产生,其实质都是由于
- 影响对流传热系数的因素有哪些?
- 孔口外接短管,称为管嘴出流,增加了阻力,
- 直径d=250mm的铸铁管。当量粗糙度Δ
- 如图所示水压机中,已知压力机柱塞直径D=
- 所谓过流断面,就是与()或()的所有流线
- 如图所示,水泵的扬程是()
- 圆管层流运动时,下列哪个选项不成立()
- 在缓变流的同一有效截面中,流体的压强分布
- 欧拉数Eu的物理意义可理解为()。
- 直径d=50mm的轴颈同心地在D=50.
- 何谓流量?何谓流速?流量与流速间的关系如