试题详情
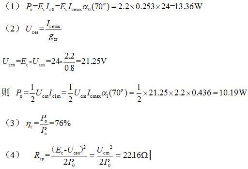
- 简答题 已知晶体管输出特性曲线中饱和临界线跨导gcr=0.8A/V ,用此晶体管做成的谐振功放电路的Ec=24V ,θ=70° ,Ic max=2.2A ,α0(70°)=0.253 ,α1(70°)=0.436并工作在临界状态。试计算PO ,PS,ηC,Rcp。
-
关注下方微信公众号,在线模考后查看

热门试题
- 仪表盘面上的符号,表示该表为()表。
- 将交流电能变换成直流电能的过程称为逆变。
- 电源等效变换时,内阻是可以改变的。
- TTL门电路中,哪个有效地解决了“线与”
- 在晶体管放大电路中,测得晶体管的各个电极
- 石英晶体与电感串联后,由于串联电感增加,
- 共发射极放大电路的输入信号加在三极管的(
- 同步二进制计数器一般由T触发器组成。
- 电路发生谐振时,不会发生分电压大于总电压
- 什么叫场效应管的开启电压和夹断电压?
- 什么叫零点漂移?它的指标是什么?
- 检波器的非线性失真系数是指输出的高频信号
- 所谓复杂直流电路就是()。
- 画出下图计数器的Q1
- 语音信号的频率范围为()。
- 三极管的输出特性曲线是()的关系。
- PN结正偏时,P区接电源的()极,N极接
- 频率是反映交流电变化的()
- 利用功放进行振幅调制时,当调制的音频信号
- 所谓机器码是指()