试题详情
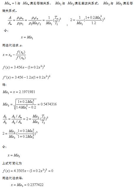
- 简答题拉伐尔喷管的出口面积A3与喉部面积a之比A3/A=4,在扩散管某处产生正激波,该处的面积A与喉部面积之比为A/a=2。气流越过激波后沿扩散段作减速运动,求出口马赫数Ma3。
-
关注下方微信公众号,在线模考后查看

热门试题
- 满宁公式只能适用于湍流阻力平方区。
- 超声速气体在收缩管中流动时,速度()。
- 在渐变流过流断面上,动压强分布满足()规
- 定性绘出图示管道(短管)的总水头线和测压
- 已知平面直角坐标系中的速度场。 试判断:
- 传热的基本方程式有几种?各有何特点?
- 若并联管路在设计时未能视线阻力平衡,则在
- 马赫准则要求两种流动的惯性力与由于压缩性
- 如图所示,圆形闸门的半径R=0.1m,倾
- 只有一面外窗的房间,当窗门紧闭时,室外风
- 光滑平板宽1.2m,长3m潜没在静水中
- 有一单级轴流式风机,转速为750r/mi
- 某流体在相距2mm的两平行平板间。当作用
- 一个圆柱型桶,高位h,底面直径为d,桶内
- 雷诺数是表征重力与惯性力的比值。
- 在恒定流时,()、()脉线都互相重合。
- 实际管网中的管段,较之尼古拉兹实验结果和
- 自由液面是水平面。
- 有旋运动就是流体作圆周运动。
- 什么是理想液体?为什么要引入理想液体的概