试题详情
- 简答题 指出下列各式的错误并改正:

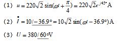
-
(1)式中解析式是不等于相量式的,电压的单位是V而不是A,应改为

(2)式中解析式不等于相量式,应改为

(3)式中电压的有效值符号应改为相量符号,即
关注下方微信公众号,在线模考后查看

热门试题
- 检测二极管极性时,需用万用表欧姆挡的()
- 除源时,恒流源应作短路处理。
- 三极管的三个工作区域分别是饱和区、放大区
- 某晶体管的集电极电流ic
- 具有保持和翻转功能的触发器是()。
- 通信系统为什么要进行调制传输?
- 组合逻辑电路如下图所示。
- 所谓机器码是指()
- 下面复合管属于NPN型的复合管的组合是(
- 关于磁感线,下列说法正确的是()。
- RS触发器具有()种逻辑功能。
- 模拟相乘调幅、平衡调幅、环形调幅均属于高
- 电流放大系数
- 电感的单位是亨利,1亨利等于()毫亨。
- 已知正弦交流电路中Z1
- 通电直导体在磁场中受力方向可用()判断。
- 数字逻辑电路中三种基本逻辑关系是什么?能
- 已知关联方向电容器的电压初值u
- 试用逻辑代数化简逻辑式
- 在直接耦合放大电路中,抑制零点漂移最有效