试题详情
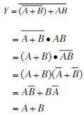
- 简答题 请将下列各式化简为最简与或式。 1、用逻辑代数运算法则进行化简
2、用卡诺图进行化简 
-
1.

2.

关注下方微信公众号,在线模考后查看

热门试题
- 在基极调幅电路中,选择晶体管时,需保证P
- TTL门电路中,哪个有效地解决了“线与”
- 1+A=1
- 当晶闸管的阳极电流减少到()时,晶闸管由
- 二进制计数器的容量是28,则最少应取触发
- 放大区
- 某谐振高频功率放大器,已知晶体管的饱和
- IP地址和域名地址有什么联系和区分?
- 半导体导电能力()导体。
- 三极管电流之间的关系是()
- 关于磁感线,下列说法正确的是()。
- 常用二极管采用单字母符号时用()表示,普
- 在已知基极电流IBQ
- 稳压二极管的最大稳定电流IZM
- 画出一种电压控制的电流受控源电路模型。
- 正弦波震荡电路是一种不要外接输入信号就能
- 在电磁感应现象中,感应电流的磁场的方向总
- 晶闸管是一种()半导体器件。
- 负反馈()改变放大电路的性能。
- 如图所示,通电直导体受到的电磁力为()。