试题详情
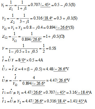
- 简答题 已知下图所示电路中U=8V,Z=(1-j0.5)Ω,Z1=(1+j1)Ω,Z2=(3-j1)Ω。求各支路的电流和电路的输入导纳,画出电路的相量图。

-

相量图:
关注下方微信公众号,在线模考后查看

热门试题
- 多级放大电路的耦合方式有()、()和()
- 在倒T形电阻网络DAC中,若U
- 当晶体三极管处于饱和状态时,对于硅NPN
- 一阶动态电路在直流电源激励下的全响应f(
- 调相的描述是用调制信号去控制载波信号的相
- 耦合回路临界耦合时,η()
- 试求图所示电路二端网络的戴维南等效电路。
- 射极输出器属于()负反馈电路,它的电压放
- 在晶体管放大电路中,测得晶体管的各个电极
- 在电磁感应现象中,感应电流的磁场的方向总
- 画出数字通信系统的基本组成方框图?
- 当放大电路的静态工作点位于截止区时,应(
- 音频、电话、数据终端通信所使用频段为()
- 触发器与组合电路两者都没有记忆能力。
- 丙类高频功率放大器原来工作于临界状态,由
- PLL的锁定是指()。
- 单稳态触发器是具有()稳定状态和维持一定
- 一个优质放大器应是放大倍数大,输入电阻大
- 在接收机系统中有AGC控制,当接收信号增
- 二极管、三极管、场效应管是常用的开关元件