试题详情
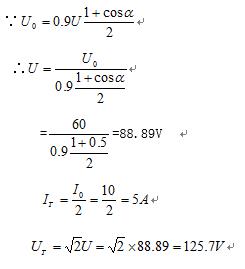
- 简答题有一单相桥式整流半控电路,需直流电压为U0=60V,直流电流I0=10A,α=60°,计算交流电源电压及晶闸管通过的电流和最大反向电压。
-
关注下方微信公众号,在线模考后查看

热门试题
- P型半导体中,多数载流子是()
- 负载回路采用部分接入方式接入电路时,接入
- 硅管是指NPN型,锗管是指PNP型。
- 空载的桥式整流滤波器电路输出电压是变压器
- 振荡电路的基本组成部分()、反馈电路、选
- 当晶体三极管处于饱和状态时,对于硅NPN
- 在如下图所示电路中,当电源V=5V时,测
- 在放大电路中,若测得某晶体管三个电极的电
- 高频功率放大器的Ec
- 丙类高频功率放大器,要实现基极调制放大器
- 丙类高频功率放大器原来工作于临界状态,由
- 线圈间的互感电动势所产生的电流总是()。
- 什么是竞争与冒险现象?如何消除?
- 既能放大电流,又能放大电压的放大电路为(
- 或非门的逻辑功能是()
- 电路是由电源、()、导线和开关等中间环节
- 下面对触发器描述错误的是()
- 若设AM广播电台容许占有的频带为15MH
- 8421BCD码是一种()码,即:从高位
- 单相交流调压电路可以用于()