试题详情
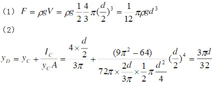
- 简答题 如图所示为一铅直半圆壁的直径位于液面上,求F值大小及其作用点。

-
关注下方微信公众号,在线模考后查看

热门试题
- 试简析对流传热机理。
- 设平面流动(a)u=1,v=2;流动(
- 动量方程式中流速和作用力()。
- 对于相对平衡液体,说法正确的是()
- 图示一管路系统,CD管中的水由A、B两水
- 粘性流体的测压管水头线的沿流程变化的规律
- 拉格朗日法是以空间点为研究对象的研究方法
- 管路有几种安排方法?管路系统中的计算内容
- 动量修正系数的大小取决于过水断面上()
- 均匀流是指运动要素不随时间变化的流动。
- 湍流光滑区的沿程水头损失系数仅与雷诺数有
- 某平壁燃烧炉由一层400 mm厚的耐火砖
- 温度升高时,空气的粘度()
- 在流体力学中,常取的基本量纲为()
- 弗诺德数Fr反映了()的对比关系。
- 声音是由微弱的()和()交替组成的,()
- 简述莫迪图的使用方法、当量粗糙度、当量直
- 将一平板垂直探入水的自由射流中,设平板截
- 如图所示的密封容器中盛有水和水银,若A点
- 什么是渐变流和急变流,二者的主要特点是什