试题详情
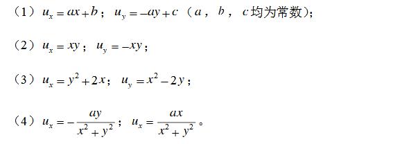
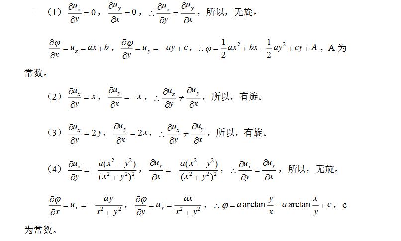
- 简答题如下函数哪些流动是无旋的,求其势函数。


关注下方微信公众号,在线模考后查看

热门试题
- 已知液体流动的沿程水头损失系数λ只与边壁
- 不可压缩流体只有在有势力的作用下才能保持
- 板式塔内理想的流体流动情况为总体上呈()
- 凡是满管流流动,任何断面上的压强均大于大
- 傅立叶定律如何表达?式中各项的单位及意义
- 静水压强基本方程的表达式及其含义是什么?
- 设流场的速度分布为u=y+2z,v=z+
- 均匀流过流断面上各点流速相等。
- 按连续介质的概念,流体质点是指:()
- 其他条件不变时,气体的密度随着压强的增加
- 旋风燃烧室和旋风除尘器等设备中的旋转气流
- 静止流体各点的()等于常数。
- 一个圆柱型桶,高位h,底面直径为d,桶内
- 作用于流体的每一个质点(或微团)上,于流
- 露天水池,水深5m处的相对压强为:()。
- 一盛有液体的开口杯子,在重力作用下在一个
- 简述紊流掺混的原因。
- 矩形断面的平底渠道,其宽度B为2.7m,
- 往复泵在操作中()
- 关于均匀流动的水流,以下哪个表述是正确的