试题详情
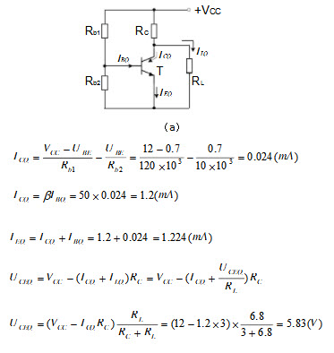
- 简答题 在下图所示的共射放大电路中,T是NPN硅管,β=50。 (1)计算ICQ、UCEQ。 (2)计算
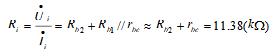
(3)计算输入电阻Ri和输出电阻Ro。 
-
(1)画出该电路的直流通路,如下图a所示。根据电路可列出:

(2)画出微变等效电路,如图(b)所示。

(3)求输入电阻Ri

求输出电阻Ro,用直接观察法。若
,受控电流源
,受控电流源开路。
因此
RO=RC=3(kΩ) 关注下方微信公众号,在线模考后查看

热门试题
- 宽带高频调谐功率放大器的工作状态一般不为
- 如果ui=0~10
- 多级放大电路,总输入电阻应等于第一级的输
- 当时序逻辑电路的触发器位数为n,电路状态
- 如图所示,电压与电流的关系为()。
- 调频的描述是用调制信号去控制载波信号的频
- 当基本RS触发器的RD
- LC串联谐振回路发生失谐时,阻抗为()。
- 集成运放电路是一个集成的多级放大电路。
- 三极管的基本功能是具有()作用。
- 在电磁感应现象中,感应电流的磁场的方向总
- VSB通信的优点是()。
- 高频调谐功率放大器集电极电流脉冲展开系
- 与门的逻辑功能是()
- 常用的解决高频调谐放大器的稳定性差的方法
- DAC电路的主要技术指标有()、()和(
- 如图是两级运算放大电路。试求输出u
- 零漂信号是一种缓变的干扰信号,主要是温度
- 在触发器电路中,利用SD端、RD端可以根
- 单调谐放大器中,当ω0