试题详情
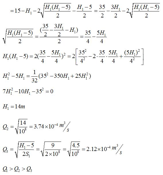
- 简答题 三层供水管路,各管段的S值均为,层高为5m。设a点的压力水头20m,求Q1、Q2、Q3,并比较三流量,得出结论来。

-

关注下方微信公众号,在线模考后查看

热门试题
- 在反应器的单根冷却蛇管内通冷却水,其进、
- 相同结构管网系统用水力半径相同的两种管材
- 在弯曲断面上,理想流体动压强呈静压强分布
- 粘滞性是引起流体运动能量损失的根本原因。
- 理想不可压均质重力流体作恒定流动时,沿流
- 下列不可压缩流体、平面流动的速度场分别为
- 基本量和导出量之间可以组成量纲一的量。
- 边界层由层流向紊流转变,取决于()
- 实际液体的水力坡度J为()
- 相对平衡的流体的等压面一定是水平面。
- 当温度升高时,气体的动力粘度μ值为什么会
- 某平面上的应力与应力张量有什么关系?P<
- 试证明均匀流过流断面的压强分布符合Z+(
- 流体的粘性产生机理是什么?
- 均匀流中过流断面上的液体压强分布遵循静止
- 简述离心式叶轮的叶片类型(按安装角分类)
- 不可压缩流体的连续性微分方程说明了动量守
- 管路水力计算中所谓长管是指()
- 传热的基本方程式有几种?各有何特点?
- 液体的粘性主要来自于液体:()