试题详情
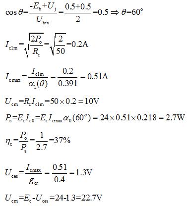
- 简答题 已知谐振功率放大器,晶体管转移特性的斜率Eb=-0.2V,Ec=24V,Uj=0.6V,gcr=0.4A/V,Rc=50Ω,Ubm=1.6V,Po=1W,求Icmax,Ucm,ηc?
-
关注下方微信公众号,在线模考后查看

热门试题
- 电路的基本构成为:()。
- 时序逻辑电路中仅有存储记忆电路而没有逻辑
- 在调谐功率放大器中,晶体管工作延伸到非线
- 脉冲后沿
- 乘法器都可以进行包络检波。
- 一般不用作调谐功率放大器中自给偏压环节的
- 若调制信号为,载波为。
- 三极管的输入特性曲线是()的关系。
- 音频、电话、数据终端通信所使用频段为()
- 二极管、三极管、场效应管是常用的开关元件
- 在基极调幅电路中,选择晶体管时,需保证B
- DAC电路的作用是将()量转换成()量。
- 并联谐振回路发生谐振时,回路电纳为0。
- 在二极管的半波整流电路中,加电容C滤波后
- 共阳极组变流电路,逆变电压正半波大于负半
- 如图所示,通电导体受力方向为()。
- 双稳态触发器
- 整流二级管和整流堆统称为()。
- 负载三角形连接时()
- 当“与非”门输出为“1”时,称(),相反