试题详情
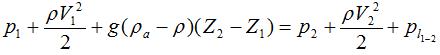
- 单项选择题 不可压缩气体总流能量方程
中的ρ1,ρ2分别代表()。 A、1和2断面上的绝对压强
B、1断面上的绝对压强及2断面上的相对压强
C、1和2断面上的相对压强
D、1断面上的相对压强及2断面上的绝对压强
- C
关注下方微信公众号,在线模考后查看

热门试题
- 精馏过程,就是利用混合液的各组分具有不同
- 什么是液体的汽化压强,它与温度的关系如何
- 紊流水力粗糙管的沿程水头损失系数与雷诺数
- 改变通风机的特性曲线的方法有哪些?
- 对于实际离心式叶轮,由于环流的存在,比理
- 明渠水流由急流过度到缓流时发生水跃。
- 15℃时空气和水的运动粘度系数为V空气=
- 什么是测压管、位置水头、压强水头、测压管
- 简述大中桥桥位选择的一般要求。
- 汽泡破裂凝结发生在金属表面,使金属表面破
- 平面流体流动中的固体壁面可以看作是一条势
- 简述液流阻力产生原因(包括内因和外因)。
- 什么是绝对压强、相对压强、真空度及其相互
- 试根据欧拉平衡微分方程证明液体随容器做等
- 欧拉方程:有哪些特点?
- 在紊流的粘性底层中,起主导作用的力是()
- 一平板置与流速为7.2m/s的空气中,试
- 超声速气体在收缩管中流动时,速度()。
- 城市污水管网中的出水口(淹没出流)附近的
- 应用恒定总流的能量方程时必须满足下列条件