试题详情
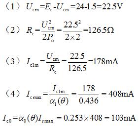
- 简答题 有一个用硅NPN外延平面型高频功率管3DA1做成的谐振功率放大器,已知EC=24V,P0=2W,工作频率为1MHz,Uces=1.5V,Pcmax=1W,Icm==750mA。求Ucm,Rcm,Ic1m,Ic0? (α1(70°)=0.436,α0(70°)=0.253)
-
关注下方微信公众号,在线模考后查看

热门试题
- 原则上零点位点可以任意选择,但在实用中,
- 写出JK触发器逻辑表达式并作出它的逻辑功
- 单相桥式全控整流电路,阻感性负载,α=9
- 丙类高频功率放大器,要实现集电极调制放大
- 高频调谐功率放大器中,RC变化,被称为调
- 高频调谐功率放大器中,EC<
- 所谓调制就是用调制信号控制载波信号的振幅
- 同步计数器中,各触发器受不同时钟脉冲控制
- 一般晶闸管导通后,要使其阻断,则必须()
- 请将下列各式化简为最简与或式。 1、用逻
- 调频的描述()。
- 放大电路必须设置合适的静态工作点,才能正
- 在稳压管稳压电路中,利用稳压管的()特性
- 高频调谐功率放大器电路中电源Ub的作用为
- 复数z=2∠-45°的直角坐标形式为()
- 在接收机系统中有AGC控制,当接收信号增
- 声表面波滤波器的矩形系数()。
- 二一十进制译码器对8421BCD码以外的
- 在下图所示的稳压电路中,已知U
- 下列电路中,其中()属于模拟电子电路。