试题详情
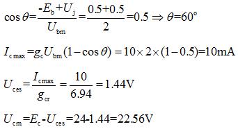
- 简答题 已知谐振功率放大器工作在临界状态,晶体管转移特性的斜率g=10ms,U
=0.5V,Eb=-0.5V,Ubm=2V,晶体管输出特性临界饱和线斜率gcr=6.94A/V,Ec=24V。 求(1)导通角θ; (2)输出电压振幅值Ucm
-
关注下方微信公众号,在线模考后查看

热门试题
- 用卡诺图化简下列逻辑函数
- 发光二级管工作时,应加()
- 高频调谐功率放大器的输出功率是指为()。
- 交流电路采用相量分析时,应将电感写成()
- 高频调谐功率放大器中,随着Ubm的增大,
- 在调制通信系统中,需要传递的有用信息处于
- 下图(a)固定偏流放大电路中,三极管的输
- 某晶体管的转移特性,其转移导纳,激励信号
- 温度对二极管的正向特性影响小,对其反向特
- 共阳极组变流电路,逆变电压正半波大于负半
- 双向移位寄存器中的数码可以()。
- 在数字信号进行调制时,通常称为键控,其中
- 射极输出器属于()负反馈电路,它的电压放
- 有一组代码需暂时存放,应选用()。
- 电路如图所示,测得图a)所示放大电路的输
- 对于EPROM而言,只有()信号同时有效
- 某谐振功率放大器,已知Ec<
- 在放大电路中,若测得某晶体管三个电极的电
- 下图是直流稳压电源电路图,试叙述该电路的
- 下图所示门电路的逻辑式为()