试题详情
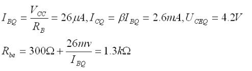
- 简答题电路如图所示,晶体管β=100,UBE=0.7V。 (1)求静态工作点; (2)画出微变等效电路; (3)求电压放大倍数Au,输入电阻Ri和输出电阻Ro; (4)若改为β=120,则Au变为多大?

- (1)

(2)

(3)

(4)

关注下方微信公众号,在线模考后查看

热门试题
- 如图放大电路中,设三极管的β=
- 用万用表测得某电路两端电阻为0Ω,则说明
- 三极管的基本功能是具有()作用。
- 当电压源开路时,该电压源内部()。
- RC正弦波振荡电路中不包括的是()
- 调制器应用在通信系统的()。
- 移位寄存器除具有存放数码的功能外,还具有
- 由基本RS触发器组成的数码寄存器清零时,
- 当高频调谐功率放大器工作在欠压状态时
- A/D转换器的二进制数的位数越多,量化级
- 如图所示,通电导体受力方向为()。
- 在滤波电路中,最简单的是由电容器,电感器
- 大信号包络检波器是利用二极管的非线性和R
- 硅二极管导通时的正向管压降约 (),锗二
- 三极管有()PN结。
- 并联谐振回路发生谐振时,回路总导纳为最小
- 陶瓷滤波器的等效品质因数Qe<
- 晶闸管
- 下面选项中()为工作在放大区的硅材料NP
- 简单稳压电路,就是在负载两端并联一个合适