试题详情
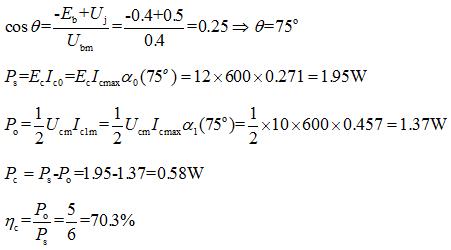
- 简答题 某高频功率放大器,已知Ec=12V,Eb=0.4V,Icmax=600mA,输入电压ub=0.4cosωtV,输出电压uce=10cosωtV。 试求:直流电源输入功率Ps; 高频输出功率Po,集电极损耗功率Pc,效率ηc?
-
关注下方微信公众号,在线模考后查看

热门试题
- 多级放大电路中输入信号为零时,输出信号电
- [+56]的补码是()
- 无线电广播发射系统中,话筒的作用是完成(
- 示波器可测出电压的()
- 共集电极电路电压放大倍数(),输入电阻(
- 组合逻辑电路任意时刻的稳定输出只由该时刻
- 锁相环路的同步带比捕捉带窄。
- 与甲类功率放大方式比较,甲乙类互补对称功
- 调制的实质是频谱搬移,把调制信号从高频搬
- 下列电路中,能用于信号幅度鉴别、波形变换
- 三相桥式全控整流电路带阻性负载,共阴极组
- 已知稳压管的技术参数:Uz=10V,I<
- 语音信号的频率范围为()。
- 什么叫零点漂移?它的指标是什么?
- T触发器受T端输入信号控制,T=()时,
- 对于如下图所示桥式整流滤波电路,合并开关
- 若电阻元件的伏安特性可以用一条通过平面坐
- 共射放大电路的静态工作点设置较低,造成截
- 如下图所示是一个反相比例运算电路,写出其
- NPN、PNP二种结构形式的三极管,它们