试题详情
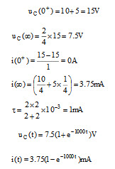
- 简答题 如图所示的开关电路,计算uC(t)和i(t)。

-
关注下方微信公众号,在线模考后查看

热门试题
- 半导体材料具有光敏性和热敏性,是由于它是
- 电路如图所示,欲使电路中的电流I=2A,
- 已知某三极管放大电路的IB
- 调频波的解调过程称为()。
- 在半波整流电路中,在使用二极管时,二极管
- 振荡电路的基本组成部分有哪些?(至少2点
- 声表面波滤波器的最大缺点是需要调谐。
- 当电压源开路时,该电压源内部()。
- AM调制中的调制信号信息包含在()中。
- PLL鉴相器的作用是把()。
- 当高频调谐功率放大器工作在临界状态,当谐
- 节点电压法是以()电压为参变量列写KCL
- 高频调谐功率放大器无发射结偏置时,锗管的
- 晶体管工作在放大区的条件是发射结(BE结
- 在稳压电路中,二极管起滤波作用,电容起整
- 维—阻D型触发器(触发前Qn=1),当D
- 三相共阴极整流电路,整流管换相总是换到阳
- 十进制数100对应的二进制数是()。
- 下图是直流稳压电源电路图,试叙述该电路的
- “与非”门的逻辑功能是()。