试题详情
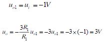
- 简答题 下图所示是由两个运算放大器组成的运算电路。已知输入电压ui = - 1V, 试求出输出电压uo的值。

-
关注下方微信公众号,在线模考后查看

热门试题
- 在集电极调幅电路中,ECC
- 测量的三个条件分别是()、()和()。
- 高频调谐功率放大器中,随着Eb的增大,调
- 单结晶体管具有()极和二个()极的半导体
- 在下图中,US=5
- 利用与非门设计一个逻辑电路,判断三个变量
- 如图所示分压式偏置放大电路中,已知R
- 什么叫场效应管的开启电压和夹断电压?
- 采用复式滤波电路,会()负载电压中的脉动
- 寄存器具有记忆功能,可用于暂存数据。
- 已知下图所示电路中,求电压,并作相量图。
- 某变压器初级匝数为2000,次级为100
- 单调谐回路的矩形系数是一个定值,与回路的
- 对于耗尽型绝缘栅场效应管,不论栅—源电压
- 在电压和电流的关联参考方向下,欧姆定律表
- 石英晶体与电感串联后,通频带向()方向扩
- AM信号的中心频率是fc
- 在电容器滤波电路中电容值越大,放电时间越
- 单端输入的差动放大电路,其效果与双端输入
- 高频调谐功率放大器集电极电流脉冲展开系