试题详情
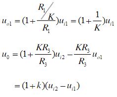
- 简答题 下图所示是利用两个运算放大器组成的具有较高输入电阻的差分放大电路。试求出uo与ui1,ui2的运算关系式。

-
关注下方微信公众号,在线模考后查看

热门试题
- 如图所示二极管检波电路中,已知二极管的导
- 对于各电阻值都相等的减法运算电路,它的输
- 在图中,已知电源电压V=10V,R=20
- 写出基本无源RC低通滤波器电路的网络函数
- 触发器进行复位后,其两个输出端均为0。
- 石英晶体的两个谐振频率fs
- 双稳态触发器
- 负脉冲
- 测得某电路中几个三极管的各极电位如图所示
- N型半导体中,多数载流子是()
- 如图所示电路为应用集成运放组成的测量电阻
- 设一高频调谐功率放大器有下述几种:甲类、
- 当温度升高时,二极管的后向漏电流()。
- 对于一固定线圈,下面结论正确的是()。
- 当指针式万用表使用完毕后,应将万用表的转
- 当高频调谐功率放大器工作状态由临界状态过
- 选定同一元件的电流参考方向与电压参考方向
- 饱和失真
- 当电路中的反馈信号以电压的形式出现在电路
- 当高频调谐功率放大器工作在过压状态时,i