试题详情
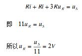
- 简答题 图中所示电路,已知us=22V,R=3Ω,求uR。

-
利用等效变换,把受控电流源和并联的电阻等效为受控电压源和对应的电阻串联,如下图,则根据KVL有:

关注下方微信公众号,在线模考后查看

热门试题
- 石英晶体与电感串联后,通频带向()方向扩
- 下图为由或非门构成的基本RS触发器的逻辑
- 双稳态触发器处于计数状态的逻辑式为Qn+
- 在抑制载波的双边带调幅波的解调电路中,如
- 对二极管正向电阻Zr和反向电阻Fr的要求
- 三极管进行微变等效时,晶体管发射结电阻r
- 在PN结的P区引出的电极叫负极,也叫阴极
- 高频调谐功率放大器中,EC<
- 稳压二极管的(),说明稳压二极管的稳压特
- 本级放大电路的输出电阻对于下级放大电路而
- JK触发器具有()种逻辑功能。
- 硅二极管()用作开关元件。
- AM信号的中心频率是()。
- 8421BCD码的显著特点是它与()数码
- 对于普通调幅波的调幅指数ma<
- 如下图所示是一个反相比例运算电路,写出其
- 在高频实用电路中,不同的通信系统中,各级
- 当基本RS触发器的RD
- 把直流变换为交流的电路叫做()电路。
- 根据晶体管三个电极的电流分配关系,有()