试题详情
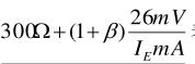
- 简答题三极管进行微变等效时,晶体管发射结电阻rbe可用公式()表示。

关注下方微信公众号,在线模考后查看

热门试题
- 当高频调谐功率放大器工作在临界状态,当谐
- 放大电路的主要动态性能指标有()。
- 一高频功率放大器工作在临界状态,已知E
- 可逆计数器既能作加法计数,又能作减法计数
- 高频调谐功率放大器在静态时,晶体管处于(
- 当晶体三极管处于饱和状态时而锗PNP型三
- 高电平调制由功率放大器组成,改变E
- 正弦交流电路的无功功率表征该电路中储能元
- “与”逻辑
- 数字式万用表使用完毕后,应将()。
- 由欧姆定律R=U/I可知,以下正确的是(
- 十进制数100对应的二进制数是()。
- 三极管具有电流放大作用的内部条件是发射区
- 在简单稳压电路中,稳压环节包括()和()
- 用二进制代码表示有限对象(信号)的过程称
- 高频调谐功率放大器中,随着U
- 在抑制载波的双边带调幅波的解调电路中,为
- 基本逻辑电路,包括()、()和()。
- 高频调谐功率放大器无发射结偏置时,锗管的
- LC组成并联谐振回路,谐振频率f