试题详情
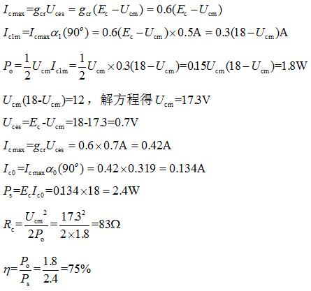
- 简答题 一高频功率放大器工作在临界状态,已知Ec=18V,gcr=0.6A/V,θ=90°。若要求Po=1.8W,求Ps,Pc,ηc,Rc?
-
关注下方微信公众号,在线模考后查看

热门试题
- 电路如下图所示,试写出其输出电压与输入电
- 下图所示门电路的逻辑式为()
- 线圈间的互感电动势所产生的电流总是()。
- 请将下列各式化简为最简与或式。 1、用逻
- 某一晶体管功率放大器,已知Ec=24V,
- 基极调幅电路工作于过压状态,特点是效率低
- 高频调谐功率放大器中,随着EC的增大,调
- 交流电经变压后的输出电压位u2
- 网络安全主要解决什么问题?它的主要内容是
- 锁相环路的调节过程不包括()。
- AFC的输入信号与VCO输出信号比较,如
- 集电极调幅的原理()。
- 谐振的条件是()
- 如图所示电路中,硅稳压管DZ1
- 晶体管工作在放大区的条件是发射结(BE结
- 噪声源是指信道中的噪声及分散在通信系统中
- 当晶体三极管的发射结正向偏置,而集电结反
- 单相半波可控整流电路带阻性负载时,输出电
- AGC信号为变化缓慢的直流。
- 由欧姆定律R=U/I可知,以下正确的是(